missing translation for 'onlineSavingsMsg'
Learn More
Learn More
Invitrogen™ IL13RA2 Polyclonal Antibody

Rabbit Polyclonal Antibody
Marca: Invitrogen™ PA544066
Este artículo no se puede devolver.
Vea la política de devoluciones
Descripción
Peptide sequence: DHFKECTVEY ELKYRNIGSE TWKTIITKNL HYKDGFDLNK GIEAKIHTLL Sequence homology: Cow: 93%; Dog: 100%; Guinea Pig: 93%; Horse: 93%; Human: 100%; Mouse: 86%; Pig: 100%; Rabbit: 86%; Rat: 100%.
IL13RA2 (interleukin-13 receptor subunit alpha-2) is closely related to IL13RA1, a subuint of the interleukin 13 receptor complex. This protein binds as a monomer to IL13 with high affinity, but lacks cytoplasmic domain, and does not appear to function as a signal mediator.
Especificaciones
| IL13RA2 | |
| Polyclonal | |
| Unconjugated | |
| IL13RA2 | |
| cancer/testis antigen 19; CD213a2; CT19; IL-13 receptor subunit alpha-2; IL13BP; IL13R; IL-13R; IL-13R subunit alpha-2; IL13RA2; IL-13RA2; IL-13R-alpha-2; interleukin 13 binding protein; interleukin 13 receptor alpha 2; interleukin 13 receptor alpha 2 chain; interleukin 13 receptor alpha chain 2; interleukin 13 receptor subunit alpha 2; interleukin 13 receptor, alpha 2; interleukin-13 receptor subunit alpha-2; interleukin-13 receptor subunit alpha-2-like; interleukin-13-binding protein | |
| Rabbit | |
| Affinity Chromatography | |
| RUO | |
| 3598 | |
| -20°C, Avoid Freeze/Thaw Cycles | |
| Liquid |
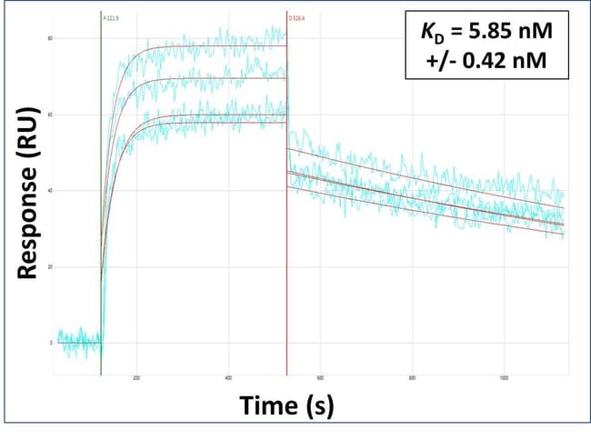
| Western Blot, Surface Plasmon Resonance | |
| 0.5 mg/mL | |
| PBS with 2% sucrose and 0.09% sodium azide | |
| Q14627 | |
| IL13RA2 | |
| Synthetic peptide directed towards the N-terminal of human IL13RA2 (aa 60-109). | |
| 100 μL | |
| Primary | |
| Human | |
| Antibody | |
| IgG |
Corrección del contenido de un producto
Proporcione sus comentarios sobre el contenido del producto rellenando el siguiente formulario.
Título del producto
¿Detecta una oportunidad de mejora?Comparta una corrección de contenido